eYc AFMS-160+PHM33差压风速组合 行业应用 漆包线工厂烟囱量测解决方案
eyc-tech AFMS-160+PHM33差压风速组合
行业应用 漆包线工厂烟囱量测解决方案
背景介绍
客户为全球微细漆包线和超细漆包线领域的高端制造商,依据IEC 60317, NEMA MW1000, JIS C3202等相关工业标准,或客制特殊需求而生产漆包线,所供应产品被应用于如变压器和电机等多种电气产品中产生电磁场;其他特殊用途,如自粘线或漆包铝线制造音圈、用漆包黄铜线生产的喷射阀等。
制作漆包线时会产生VOCS,制作过程中需控制温度以及风速,因此需搭配差压风速传送器来监测生产时的烘干风速以及废气排除以符合法规条件。
漆包线工序主要由:放线、退火、涂漆、烘焙、冷却和收线工序组成。其生产工艺流程见图(如下):

解决方案
漆包线的制程中容易排放VOCS及异味,工厂常以热焚化等设备进行处理,以 600 ... 800℃之直接焚化去;或以200 ... 400℃催化氧化脱除,各个工艺环节的工况条件不同以及安全性,工厂须采取不同的解决方案。
|
内容 |
项目 |
执行标准 |
最高允许排放浓度
(mg/m3)
|
||
|
废气 |
漆包车间排气筒 |
甲苯 |
《大气污染综合排放标准》 (GB16297-1996)表2二级标准 |
17米的排气筒 |
40 |
|
二甲苯 |
70 |
||||
以客户为例,其在烟道布设和采样位置不满足GB/T 16157-1996《固定污染源排气中颗粒物测定与气态污染物采样方法》条件,因此需要用更适合现场工艺的仪表。例如为通风管道、 烟道工业、废气排除 、环保工程及特别是高温和烟囱环境测试中多粉尘空气和高流速的风速量测处理过程等相似环境的解决方案。
在这个案例中,客户工厂烟囱上已有安装传感器的仪表,但需在不同位置安装流速仪以达到更精准的比对合格率;评估后可使用S型皮托管搭配差压量测风速及风量。
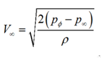
S型皮托管由2根金属管并联组成,测量端口有2个方向相反开口,面向气流的开口测得压力是全压,背向的压力因测头结构影响小于实际静压。但其正、反方向修正系数相差应不>0.01,测压孔开口较大,不易被颗粒物堵塞,且便于在厚壁烟道中使用。由于排气的流速与其动压平方根成正比,根据测得某测点处的动压、静压以及温度等参数,我们由此计算出排气流速:

使用标准件来监测安全性这样做不仅可使排烟畅通,更可达到更符合当地的环保要求以及安全性,不受外界环境温、湿度的干扰,避免热量损失,保持灵敏度快,所以我们给客户推荐解决方案eyc-tech AFMS-160 S型皮托管和eyc-tech PHM33 工业级微差压传感器来控制和监测,达到双重的保证和确认。
产品优势
AFMS-160 S型皮托管,专门设计用于量测烟囱与环境中气体流体的流量速度,可防止在恶劣的烟灰条件下堵塞,进而快速反应处理排烟排污程序。使用皮托管量测管道内的气流速度,经过换算来确定流量与速度,使用方便与准确,是一种广泛的量测方法,并且可用来量测流体的压力。耐高温,抗腐蚀,耐粉尘,防堵塞快速转换流速流量,操作压力 : 最大 10 bar;温度 : 操作 : 最大 250 ℃ ; 耐温 : 800℃。
采用AFMS-160 S型皮托管测量出动压值(动压为总压减去静压,即Pd=Pt-Ps),可由伯努利方程,计算出管道内流量和流速。
配合使用PHM33工业级微差压传感器以测量流体的流量,还可用来测量液位(如差压式液位计)以及管道、塔设备等的阻力(即两点的压力降)等来计算出精确数值。物理量单位切换:mbar / Pa / hPa / kPa / mmH2O / mmWS / inH2O / mmHg,具有开根号功能(风速量测),则可以量测管道中气流的动压(Δ P)并计算风速与风量及温度(也可以使用AFMT平均风速测管(皮托管)搭配PHM差压传感器做废气排除控制和监测)。
施工现场图